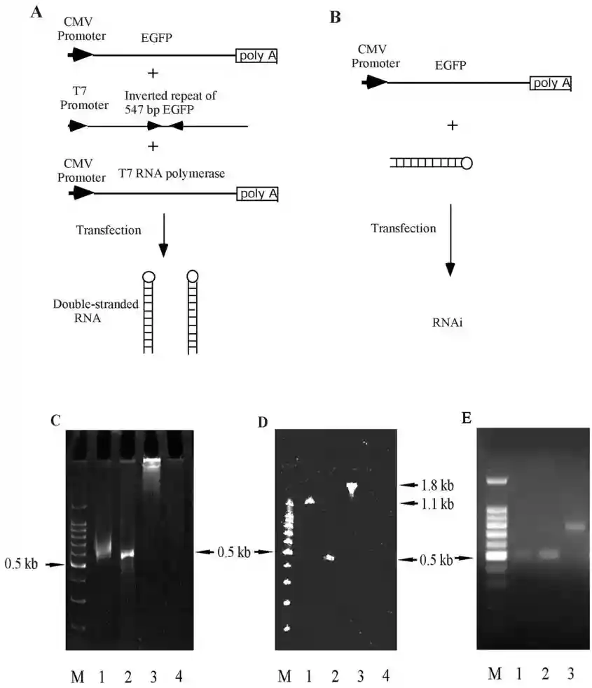
Specific Double-Stranded RNA Interferen
最新活动: 2024-12-18
浏览: 1052







#生信
最新活动: 2024-12-18
浏览: 1052







#生信 最终我还是走上试管三代的路…(二) 供卵和试管一样吗
宫颈炎出现有这些常见信号,你还不知道吗? 三代试管pgs筛查
深圳三代试管签约,实现儿女双全
男性试管前准备 临沂有供卵的医院吗
试管婴儿流程1
✨美国试管婴儿三大优势,圆你生育梦想✨ 三代试管流程和时间
我的美国试管婴儿经历(6)
苏州试管|三代成功经验分享~
【好孕故事】张家口李海燕主任“保胎圣手” 卵泡少三代试管成功
此贴记录四川省人民医院试管费用
能百毒不侵的人,都曾伤痕累累过;能笑看风云的人,都曾千疮百孔过。
2026-01-22 0